
5月份,上海仪电带来了环氧树脂水分含量检测的应用方案,现在上海仪电带着环氧树脂羟值测定的应用方案与您见面了!
一、背景介绍
羟值是指1g样品中羟基所相当的氢氧化钾的毫克数,以mgKOH/g表示。目前胶黏剂中的环氧树脂、聚酯多元醇和聚醚多元醇及聚氨酯等对羟值有要求。
羟值是环氧树脂羟基含量的量度,可以直接反映出环氧树脂分子量的大小;在聚酯多元醇的合成过程中,利用羟值与酸值的测试来监控合成反应程度,用来检验树脂分子量是否符合产品出厂要求;在聚氨酯胶黏剂生成时,羟值与酸值大小,是异氰酸酯加入改性的重要依据。故我们需要对羟值进行检测。
依据标准:GB/T 12008.3-2009 塑料 聚醚多元醇 第3部分:羟值的测定。
二、羟值测定方法
1、测试原理
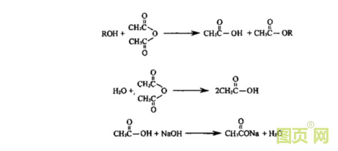
用过量酸酐与产品中羟基反应生成酯和酸,多余的酸酐水解成酸,再用碱进行中和滴定。根据氢氧化钠的消耗量,可计算出产品的羟值。由于滴定终点颜色变化不易观察,因此通过电位来指示终点。

2、仪器及试剂:
● ZDJ-5B型自动滴定仪
● 231-01 pH玻璃电极+232-01参比电极
● 咪唑、吡啶、邻苯二甲酸酐、0.5mol/L氢氧化钠标定滴定溶液
3、测试
(1)样品前处理:
● 向试料和空白锥形瓶中准确移取25ml邻苯二甲酸酐酰化试剂。摇动瓶子,至试料溶解,每个锥形瓶接上空气冷凝管,放在115+2℃油浴里30min。
● 加热后,将装置从油浴中拿出并冷却至室温。用30ml吡啶冲洗冷凝管并取下冷凝管。将溶液定量转移到250ml烧杯中,用20mL吡啶冲洗锥形瓶。
(2)空白测定:将空白样品置于滴定仪上,用氢氧化钠标准滴定溶液滴定至终点。
(3)样品测定:将试样置于滴定仪上,用氢氧化钠标准滴定溶液滴定至终点。

(1)过量的水会破坏酯化试剂而干扰测定,试剂需要保持干燥,酰化试剂吸潮后需要重新配置。
(2)酯化完成,冷却后,可以先加少量水,使过量的酸酐直接水解,
(3)样品的取样量要进行估算,尽可能
三、仪器推荐
ZDJ-5B型自动滴定仪
● 7寸彩色触摸电容屏,导航式操作;
● 支持电位滴定;
● 实时显示测试方法、滴定曲线和测量结果;
● 可定义计算公式,直接显示计算结果;
● 支持滴定剂管理功能;
● 支持pH的标定、测量功能;
● 支持USB、RS232连接PC,双向通讯;
● 可直接连接自动进样器实现批量样品的自动测量。


















手机图页网



